решите уравнение:
1) 45-5х(в квадрате)=0
2) 5х=2х(в квадрате)
3) 3х(в квадрате)+8х-3=0
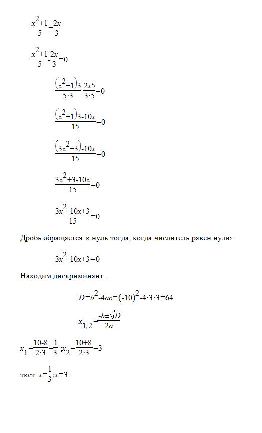
4) х(в квадрате)+1 = 2х
5 3
Ответы
Ответ дал:
0
===========================================================
Приложения:


Вас заинтересует
2 года назад
8 лет назад
8 лет назад
10 лет назад
10 лет назад
10 лет назад