• Предмет: Алгебра
  • Автор: pointDi
  • Вопрос задан 11 лет назад

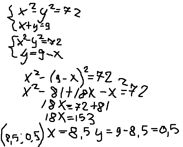
решит систему: х^(2)-y^(2)=72 x+y=9

Ответы

Ответ дал: anonymys1
0

решение во вложении))))))))))))

Приложения:
Ответ дал: avitall
0

  x^2-(-x+9)^2=72  

         x^2-(x^2-18x+81)=72

         x^2-x^2+18x-81-72=0

          18x-153=0

          18x=153

           x=8.5                     

Приложения:
Вас заинтересует