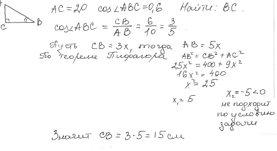
В треугольнике ABС угол C прямой, AС = 20, а косинус угла B равен 0.6. Найдите меньший катет треугольника.
Ответы
Ответ дал:
0
У меня вышло, что в данной задаче меньший катет СВ = 15 см
Приложения:

Вас заинтересует
2 года назад
8 лет назад
8 лет назад
10 лет назад
10 лет назад
10 лет назад