• Предмет: Математика
  • Автор: ольга1232
  • Вопрос задан 10 лет назад

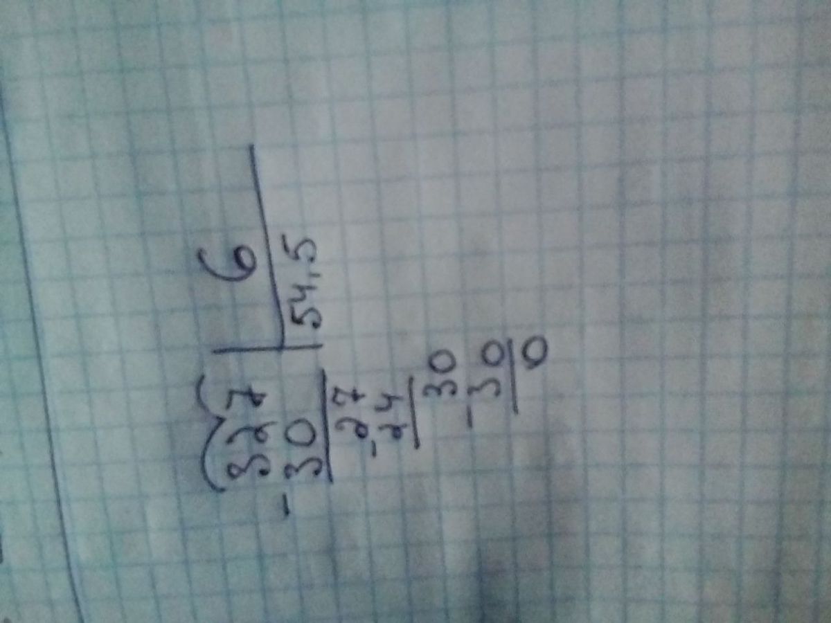
327:6 столбиком разделить

Ответы

Ответ дал: Eliker
0
54,5 это и есть ответ
Приложения:
Ответ дал: Робоучебник
0
  327  : 6
-30       54,5
  27
- 24
   30
-  30
     0
на компе?столбиком?как то так
Приложения:
Вас заинтересует