• Предмет: Математика
  • Автор: Аноним
  • Вопрос задан 10 лет назад

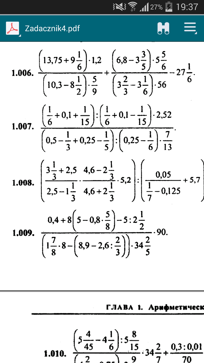
ПОЖАЛУЙСТА ПОМОГИТЕ ОЧЕНЬ СРОЧНО НОМЕР 1006

Приложения:

Ответы

Ответ дал: vovan105pocan
0
2639...................
Ответ дал: vovan105pocan
0
то без точек
Ответ дал: Аноним
0
на говорили что ответ будет маленькие
Ответ дал: vovan105pocan
0
ой прости 263
Ответ дал: Аноним
0
ты не понел
Ответ дал: Аноним
0
мы на подобе такого решали ответ получилься 1
Вас заинтересует