1.) рішити рівяння
2.) рішити нерівність
3.)знайти суму коренів
допоможіть будь ласка!!!(
Приложения:

Ответы
Ответ дал:
0
Решение
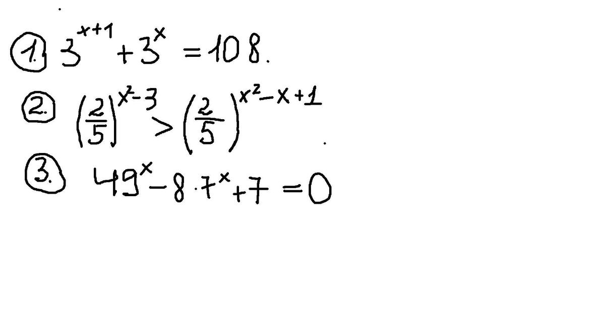
1) 3^(x + 1) + 3^x = 108
3*(3^x) + 3^x = 108
(3^x)*(3 + 1) = 108
3^x = 27
3^x = 3³
x = 3
Ответ: x = 3
2) (2/5)^(x² - 3) > (2/5)^(x² - x + 1)
так как 0 < (2/5) < 1, то
x² - 3 < x² - x + 1
x > 4
x∈ (4 ; + ∞)
3) 49^x - 8*(7^x) + 7 = 0
7^(2x) - 8*(7^x) + 7 = 0
7^x = t
t² - 8t + 7 = 0
t₁ = 1
t₂ = 7
1) 7^x = 1
7^x = 7°
x₁ = 0
2) 7^x = 7
x₂ = 1
Ответ: x₁ = 0 ; x₂ = 1
1) 3^(x + 1) + 3^x = 108
3*(3^x) + 3^x = 108
(3^x)*(3 + 1) = 108
3^x = 27
3^x = 3³
x = 3
Ответ: x = 3
2) (2/5)^(x² - 3) > (2/5)^(x² - x + 1)
так как 0 < (2/5) < 1, то
x² - 3 < x² - x + 1
x > 4
x∈ (4 ; + ∞)
3) 49^x - 8*(7^x) + 7 = 0
7^(2x) - 8*(7^x) + 7 = 0
7^x = t
t² - 8t + 7 = 0
t₁ = 1
t₂ = 7
1) 7^x = 1
7^x = 7°
x₁ = 0
2) 7^x = 7
x₂ = 1
Ответ: x₁ = 0 ; x₂ = 1
Ответ дал:
0
x1 + x2 = 1
Ответ дал:
0
дякую дужеее, дуже допомогли
Вас заинтересует
2 года назад
7 лет назад
7 лет назад
10 лет назад
10 лет назад
10 лет назад