• Предмет: Алгебра
  • Автор: almaz20025
  • Вопрос задан 10 лет назад

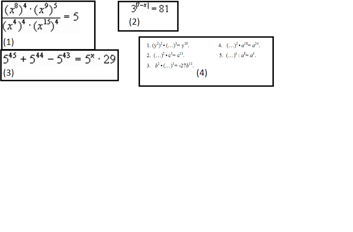
Решите пожалуйста все задания.

Приложения:

Ответы

Ответ дал: lonmars
0
1) x^32*x^45/x^16*x^60=5; x^77/x^76=5; x=5; 2) 3^|7-х|=3^4; 7-х=4; х=7-4; х=3; 4) (...)^3=y^10/y^4; (...)^3=y^6; (y^2)^3=y^6; (c^5)^2=c^10; (-3b)^3=-27b^9; (a^3)^2=a^6; (a^3)^4=a^12.
Вас заинтересует