• Предмет: Алгебра
  • Автор: Little000Homer
  • Вопрос задан 10 лет назад

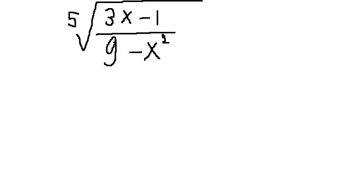
При каком значении х равенство становится верным

Корень пятой степени из 3х-1/9-х^2

Приложения:

Ответа на этот вопрос пока нет. Попробуйте найти его через форму поиска.

Вас заинтересует