• Предмет: Алгебра
  • Автор: nortmonster
  • Вопрос задан 10 лет назад

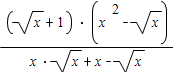
Ответ x-1 , а вот , как дойти до этого не известно

Приложения:

Ответы

Ответ дал: polinamoskva2003
0
Я исправила запись примера, проверь
Приложения:
Ответ дал: nortmonster
0
Да
Вас заинтересует