• Предмет: Алгебра
  • Автор: catdogfly
  • Вопрос задан 10 лет назад

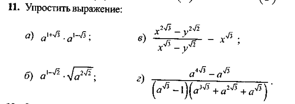
Помогите с алгеброй! Задание - упростить. Номер 11. Пожалуйста

Приложения:

Ответы

Ответ дал: ВладимирБ
0
Решение смотри в приложении
Приложения:
Ответ дал: wangross
0
Красивый почерк и аккуратное решение! Молодец)
Ответ дал: catdogfly
0
Спасибо)
Ответ дал: catdogfly
0
За решение
Вас заинтересует