Ответы
Ответ дал:
0
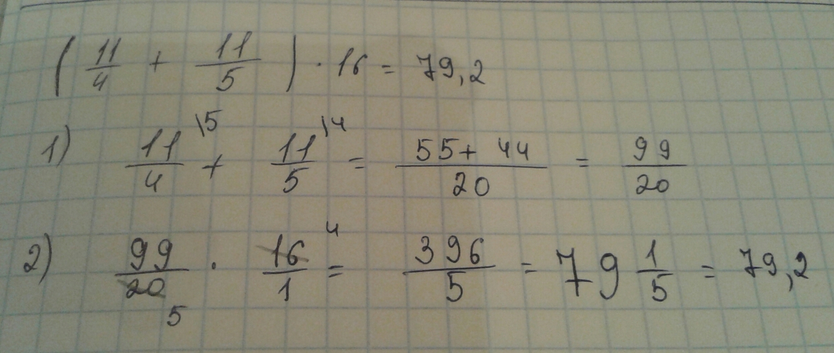
1) 11/4+11/5=55/20+44/20=99/20=4 целых 19/20
2) 99/20•16/1=1584/20=79 целых 4/20=79 целых 1/5
Ответ: 79 целых 1/5.
2) 99/20•16/1=1584/20=79 целых 4/20=79 целых 1/5
Ответ: 79 целых 1/5.
Ответ дал:
0
1) складываем дроби в скобках. у них будет общий знаменатель 20.
2) умнлдаем получившуюся дробь на 16.
3) дробь 396/5 превращаем в смешанное число 79 1/5 или 79,2
2) умнлдаем получившуюся дробь на 16.
3) дробь 396/5 превращаем в смешанное число 79 1/5 или 79,2
Приложения:
Вас заинтересует
3 года назад
8 лет назад
10 лет назад
10 лет назад
11 лет назад