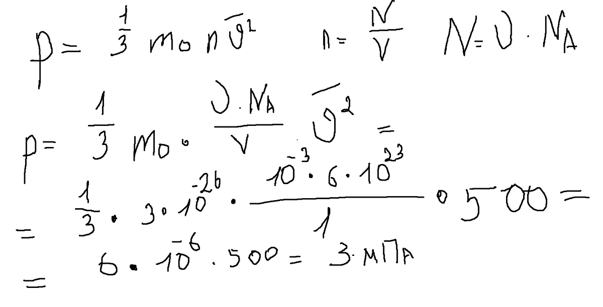
сосуд имеющий форму куба со стороной 1м содержит идеальный газ в количестве 10^-3 моль . Найдите давление газа ,если масса одной молеку 3*10^-23г и средняя скорость теплового движения молекул 500м/с .
Ответы
Ответ дал:
0
,,,,,,,,,,,,,,,,,,,,,,,,,,,,,,,,
Приложения:

Ответ дал:
0
Неправильно!!!! Скорость надо возвести в квадрат,а m0=3x10^-23, а не 26!
Вас заинтересует
2 года назад
7 лет назад
10 лет назад
10 лет назад
10 лет назад