Ответы
Ответ дал:
0
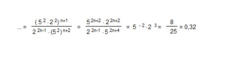
Применены свойства степени: возведение произведения в степень, возведение степени в степень, умножение степеней, деление степеней.
Приложения:

Вас заинтересует
8 лет назад
8 лет назад
10 лет назад
10 лет назад
10 лет назад