Ответы
Ответ дал:
0
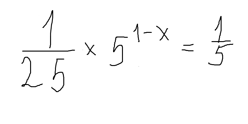
Проверь ответ..............
Приложения:

Ответ дал:
0
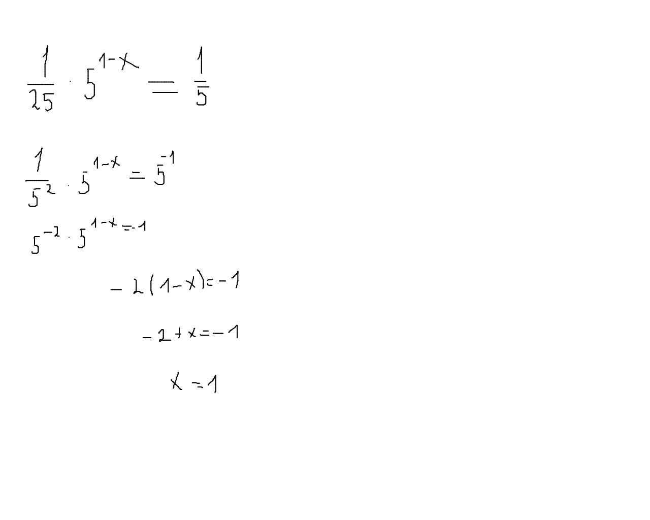
смотри внимательно
1 1
-----5^(1-x)= ---
25 5
5^(-2)*5^(1-x)=5^(-1)
5^(-2+1-x)=5^(-1)
-1-x=-1
-x=-1+1
x=0
Приложения:

Вас заинтересует
2 года назад
2 года назад
8 лет назад
8 лет назад
10 лет назад
10 лет назад