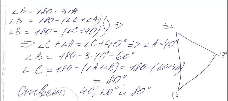
1. Внешний угол треугольника при вершине В в три раза больше его внутреннего угла А и на 40 градусов больше внутреннего угла С. Найдите углы треугольника. 2. Два внешних угла треугольника 120 и 160 градусов. найдите его внешний третий угол. Сделайте вывод о сумме внешних углов треугольника.
2. Внешний угол треуг-ка при вершине В в три раза больше его внутреннего угла А
и на 40 градусов больше внутреннего угла С. Найдите углы треугольника.
Ответы
Ответ дал:
0
решение смотреть во вложениях
Приложения:
Вас заинтересует
3 года назад
3 года назад
8 лет назад
8 лет назад
11 лет назад
11 лет назад
11 лет назад
11 лет назад