СРОЧНОООО
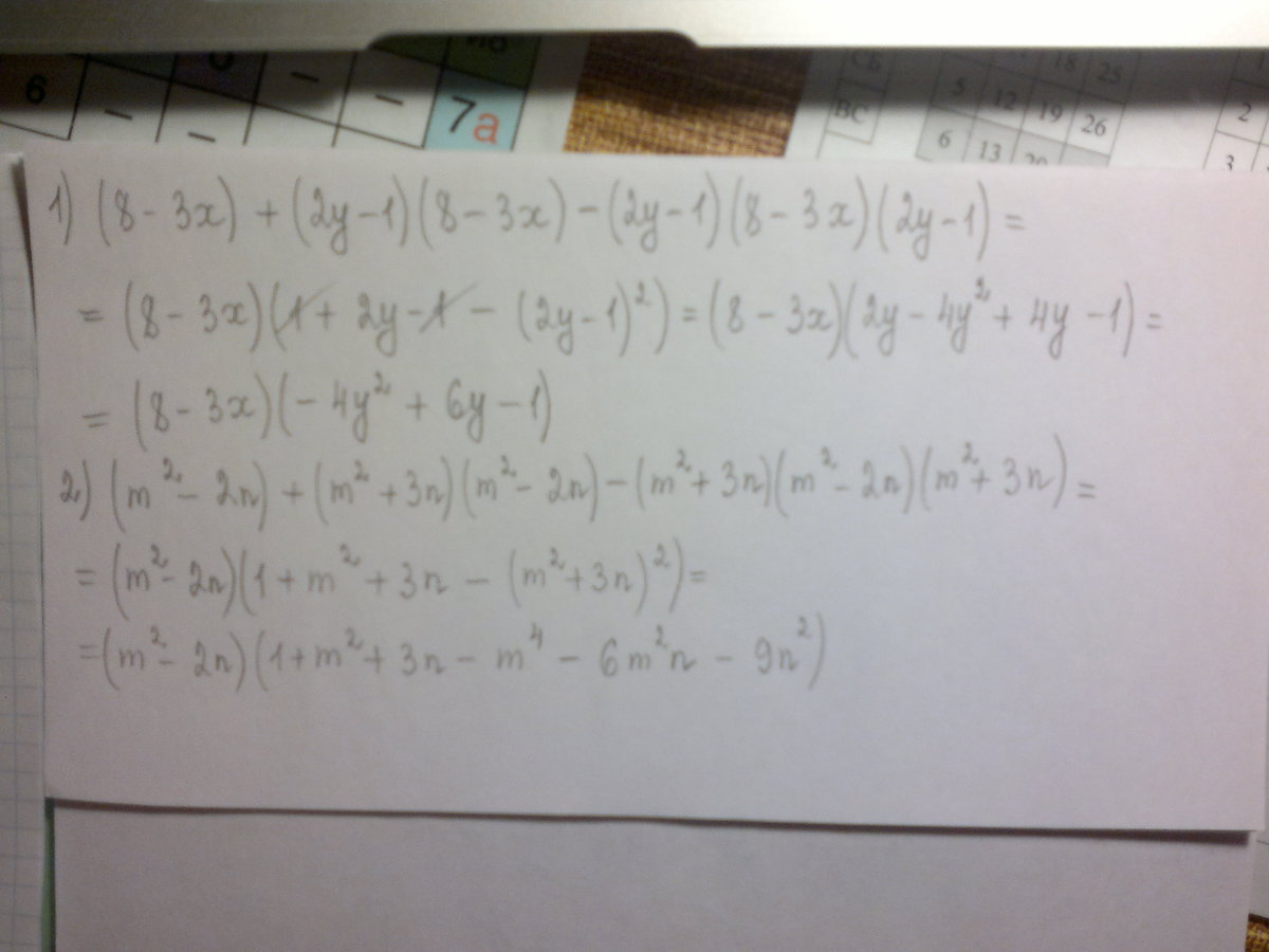
1.(8-3х)+(2у-1)
(8-3х)-(2у-1)
(8-3х)*(2у-1)
2.(m2-2n)+(m2+3n)
(m2-2n)-(m2+3n)
(m2-2n)*(m2+3n)
Решите,пожалуйста
Ответы
Ответ дал:
0
пишите, если что не так
Приложения:

Вас заинтересует
2 года назад
7 лет назад
7 лет назад
10 лет назад
10 лет назад