• Предмет: Алгебра
  • Автор: viktor250
  • Вопрос задан 10 лет назад

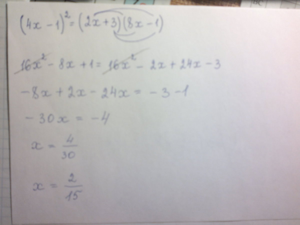
(4x-1)^2=(2x+3)(8x-1) помогите решить с решением

Ответы

Ответ дал: leonid01052000
0
16x^2-8x+1=16x^2-2x+24x-3
-30х=-4
х=430
х=215


Ответ дал: leonid01052000
0
Не правильно решил извени
Ответ дал: ytekjdbvsq
0
Вы неправильно применили формулу Квадрат разности
Ответ дал: ytekjdbvsq
0
пишите, если что не так
Приложения:
Вас заинтересует