Ответы
Ответ дал:
0
ОДЗ
12-x>0⇒x<12
15-x>0⇒x<15
x∈(-∞;12)
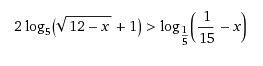
log(5)(√(12-x)+1)²>-log1/(15-x)
log(5)(√(12-x)+1)²/(15-x)>0
(√(12-x)+1)²/(15-x)>1
[(√(12-x)+1)²-(15-x)]/(15-x)>0
(12-x+2√(12-x)+1-15+x)/(15-x)>0
(2√(12-x)-2)/(15-x)>0
1){√(12-x)-1>0⇒√(12-x)>1⇒12-x>1⇒x<11
{15-x)>0⇒x<15
x∈(-∞;11)
2){√(12-x)-1<0⇒√(12-x)<1⇒12-x<1⇒x>11
{15-x)<0⇒x>15
нет решения
Ответ x∈(-∞;11)
12-x>0⇒x<12
15-x>0⇒x<15
x∈(-∞;12)
log(5)(√(12-x)+1)²>-log1/(15-x)
log(5)(√(12-x)+1)²/(15-x)>0
(√(12-x)+1)²/(15-x)>1
[(√(12-x)+1)²-(15-x)]/(15-x)>0
(12-x+2√(12-x)+1-15+x)/(15-x)>0
(2√(12-x)-2)/(15-x)>0
1){√(12-x)-1>0⇒√(12-x)>1⇒12-x>1⇒x<11
{15-x)>0⇒x<15
x∈(-∞;11)
2){√(12-x)-1<0⇒√(12-x)<1⇒12-x<1⇒x>11
{15-x)<0⇒x>15
нет решения
Ответ x∈(-∞;11)
Ответ дал:
0
log(5)(√(12-x)+1)²>-log1/(15-x) -а где здесь основание?(1/5)?
Ответ дал:
0
http://znanija.com/task/15781247 вот это еще, пожалуйста, если Вам не сложно
Ответ дал:
0
ОДЗ:
![left { {{big{ sqrt{12-x}+1 textgreater 0} } atop { frac{big1}{big{15-x}} textgreater big{0} }} right. ~~left { {{ big{sqrt{12-x} textgreater -1 } atop {big{15-x textgreater 0}} right. ~~~~ left { {{ big{sqrt{12-x} geq 0} atop {big{x textless 15}} right. \ \ \ left { {{big{12-x geq 0} atop {big{x textless 15}} right. ~~~~ left { {{big{x leq 12} atop {big{x textless 15}} right. ~~Rightarrow~xin(-infty;12] left { {{big{ sqrt{12-x}+1 textgreater 0} } atop { frac{big1}{big{15-x}} textgreater big{0} }} right. ~~left { {{ big{sqrt{12-x} textgreater -1 } atop {big{15-x textgreater 0}} right. ~~~~ left { {{ big{sqrt{12-x} geq 0} atop {big{x textless 15}} right. \ \ \ left { {{big{12-x geq 0} atop {big{x textless 15}} right. ~~~~ left { {{big{x leq 12} atop {big{x textless 15}} right. ~~Rightarrow~xin(-infty;12]](https://tex.z-dn.net/?f=+left+%7B+%7B%7Bbig%7B+sqrt%7B12-x%7D%2B1+textgreater++0%7D+%7D+atop+%7B+frac%7Bbig1%7D%7Bbig%7B15-x%7D%7D+textgreater++big%7B0%7D+%7D%7D+right.+%7E%7Eleft+%7B+%7B%7B+big%7Bsqrt%7B12-x%7D+textgreater++-1+%7D+atop+%7Bbig%7B15-x+textgreater++0%7D%7D+right.+%7E%7E%7E%7E+left+%7B+%7B%7B+big%7Bsqrt%7B12-x%7D+geq+0%7D+atop+%7Bbig%7Bx+textless++15%7D%7D+right.+%5C+%5C+%5C+left+%7B+%7B%7Bbig%7B12-x+geq+0%7D+atop+%7Bbig%7Bx+textless++15%7D%7D+right.+%7E%7E%7E%7E+left+%7B+%7B%7Bbig%7Bx+leq+12%7D+atop+%7Bbig%7Bx+textless++15%7D%7D+right.+%7E%7ERightarrow%7Exin%28-infty%3B12%5D)
Решение:

Ответ:
Решение:
Ответ:
Вас заинтересует
3 года назад
3 года назад
8 лет назад
8 лет назад
10 лет назад
11 лет назад
11 лет назад