Ответы
Ответ дал:
0
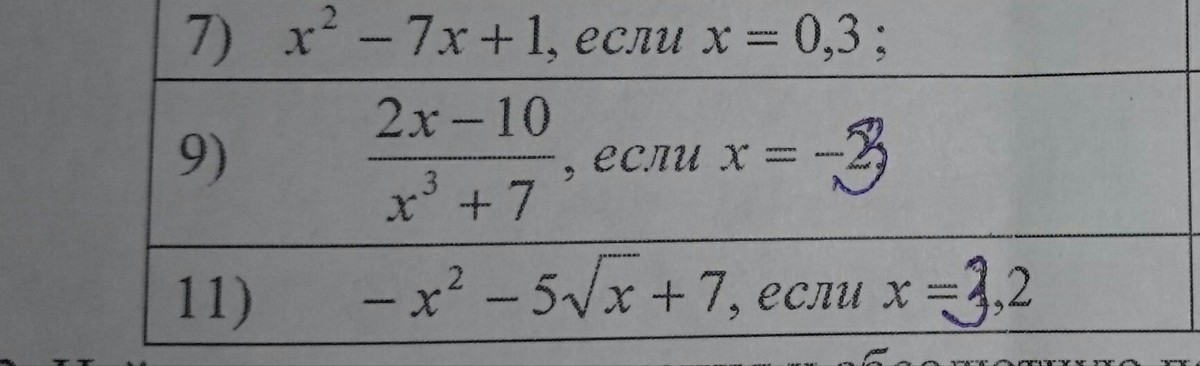
x2-7x+1 x=0.3
0.3 2-7*0.3+1=0.09-2.1+1=-1.01
8) 2x-10/x3+7 x=-3
2*(-3)-10/(-3)3+7=-6-10/-27+7=-16/-20=4/5
0.3 2-7*0.3+1=0.09-2.1+1=-1.01
8) 2x-10/x3+7 x=-3
2*(-3)-10/(-3)3+7=-6-10/-27+7=-16/-20=4/5
Ответ дал:
0
7) (x)2-7x+1
0,09-2,1+1
0,09-3,1=-3,01
9) -6-10:-9+7=-16:-2=-8
0,09-2,1+1
0,09-3,1=-3,01
9) -6-10:-9+7=-16:-2=-8
Вас заинтересует
3 года назад
3 года назад
8 лет назад
10 лет назад
10 лет назад
11 лет назад
11 лет назад