• Предмет: Алгебра
  • Автор: Полина23082000
  • Вопрос задан 10 лет назад

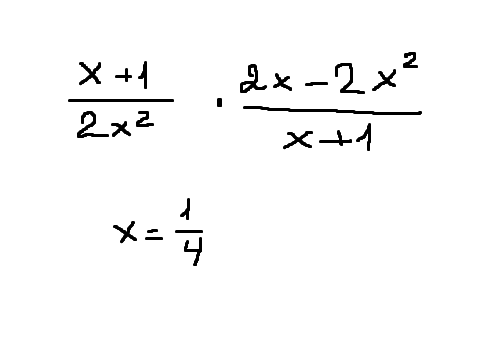
Упростите выражение и найдите его значение при х=1/4

Приложения:

Ответа на этот вопрос пока нет. Попробуйте найти его через форму поиска.

Вас заинтересует