• Предмет: Математика
  • Автор: Ирина280996
  • Вопрос задан 11 лет назад

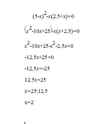
(5-х)в квадрате- х(2,5+х)=0

Ответы

Ответ дал: triolana
0

========================================================

Приложения:
Ответ дал: Dashyk174
0

(5-х)в кв- х(2,5+х)=0

(х в кв-10х+25)-х(х+2,5)=0

х в кв-10х+25-х в кв-2,5х=0

-12,5х+25=0

-12,5х=-25

12,5=25

х=25:12,5

х=2

 

 

 

 

 

 

 

 

 

 

 

 

 

 

Приложения:
Вас заинтересует