Ответы
Ответ дал:
0
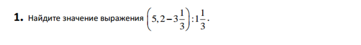
(26/5-10/3)/4/3



Вас заинтересует
3 года назад
3 года назад
8 лет назад
8 лет назад
10 лет назад
10 лет назад
11 лет назад
11 лет назад