Ответы
Ответ дал:
0
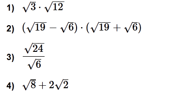
√3*√12=√36=6
(√19-√6)(√19+√6)=√19²-√6²=19-6=13
√24/√6=√24/6=√4=2
это всё рациональные числа
√8 + 2√2 иррациональое число
(√19-√6)(√19+√6)=√19²-√6²=19-6=13
√24/√6=√24/6=√4=2
это всё рациональные числа
√8 + 2√2 иррациональое число
Вас заинтересует
2 года назад
2 года назад
8 лет назад
10 лет назад
10 лет назад
10 лет назад
10 лет назад