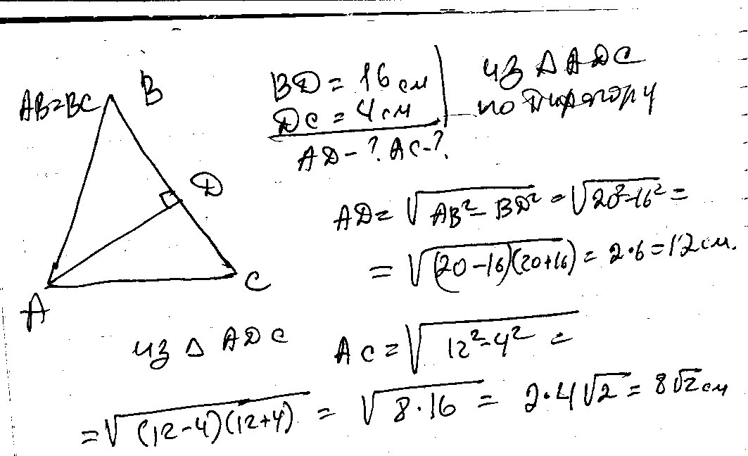
на рисунке треугольник АБС равнобедренный с основанием АС , АD его высота, BD=16см, DC= 4см. Найти основание АС и высоту AD
Ответы
Ответ дал:
0
На рисунке треугольник АБС равнобедренный с основанием АС , АD его высота, BD=16см, DC= 4см. Найти основание АС и высоту AD
Приложения:

Вас заинтересует
2 года назад
2 года назад
7 лет назад
7 лет назад
10 лет назад
10 лет назад
10 лет назад