• Предмет: Алгебра
  • Автор: novizo
  • Вопрос задан 10 лет назад

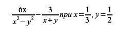
Найдите значение выражения:

Приложения:

Ответы

Ответ дал: sonja2002kaneva
0
Ответ: -18 , а так очень легкий пример )
Вас заинтересует