• Предмет: Алгебра
  • Автор: Brilliant05
  • Вопрос задан 11 лет назад

Преобразования буквенных логарифмических выражений

Приложения:

Ответы

Ответ дал: Ivanna2013
0

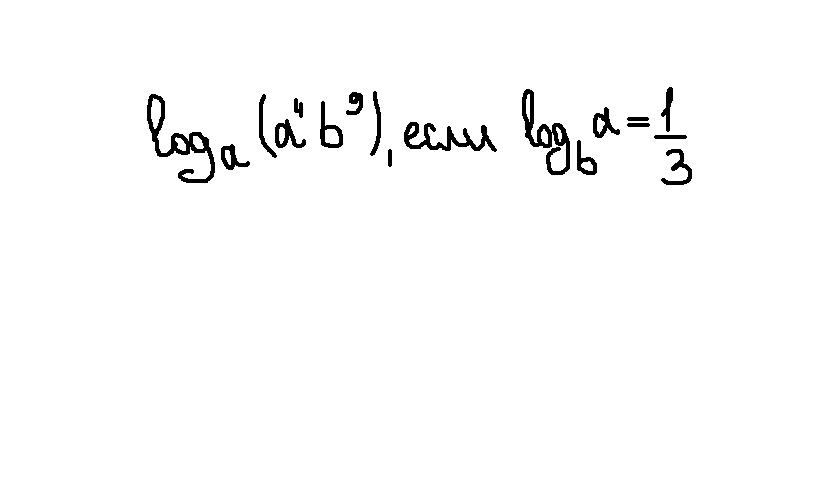
1) 4log_aa+9log_ab=4+27=31\ 2) 2log_a+3log_ab=2+3(-2)=-4

Вас заинтересует