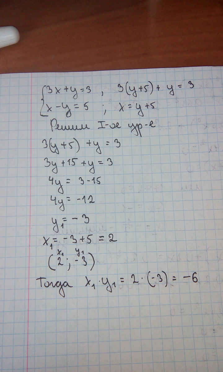
укажите значение произведения х1у1 ,если известно что )х1;у1)-решение системы уравнений
(3х+у=3
(х-у=5
Ответы
Ответ дал:
0
правильно я вас поняла!?)
Приложения:

Вас заинтересует
2 года назад
7 лет назад
7 лет назад
10 лет назад
10 лет назад