• Предмет: Алгебра
  • Автор: fedyshenasveta
  • Вопрос задан 10 лет назад

Как решать такие рівняння???

Приложения:

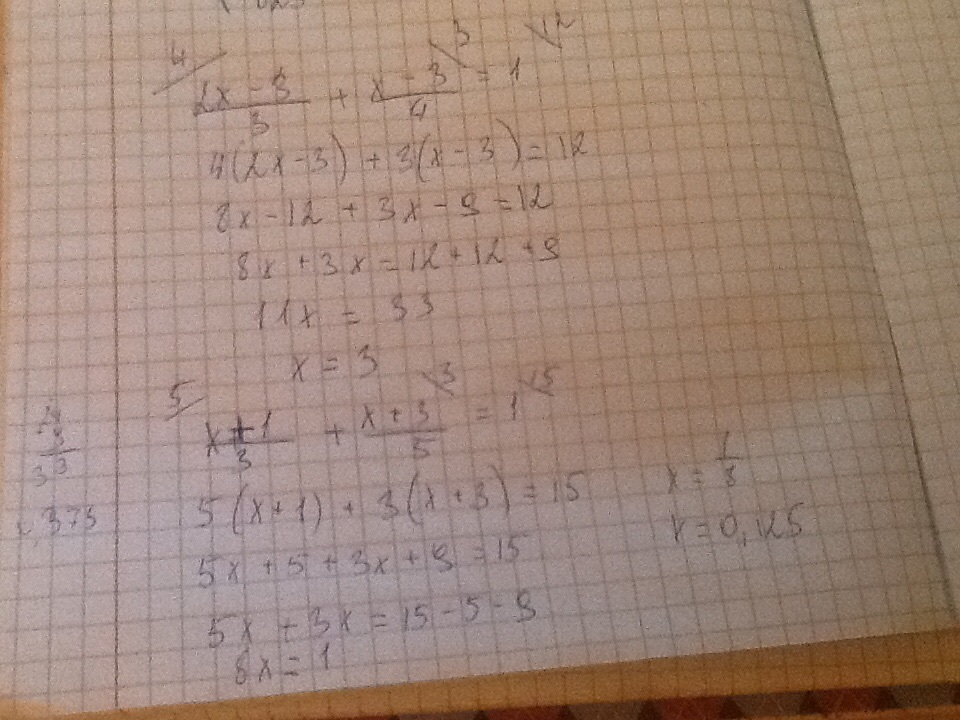
Ответы

Ответ дал: KarinaYouchi
0
Да прибудет с тобой хорошая оценка!
Приложения:
Ответ дал: fedyshenasveta
0
Спасибо большое, а есть формула или информация как эжто решать??
Ответ дал: KarinaYouchi
0
да там нет никакой определенной формулы. это нужно объяснять :D
Ответ дал: fedyshenasveta
0
Просто я сфоткала плохо и там не совсем ьте цыфры 
Ответ дал: fedyshenasveta
0
Но мне самое главное как решить , спасибо)
Ответ дал: KarinaYouchi
0
Ой, извините, не разглядела 
Вас заинтересует