Ответы
Ответ дал:
0
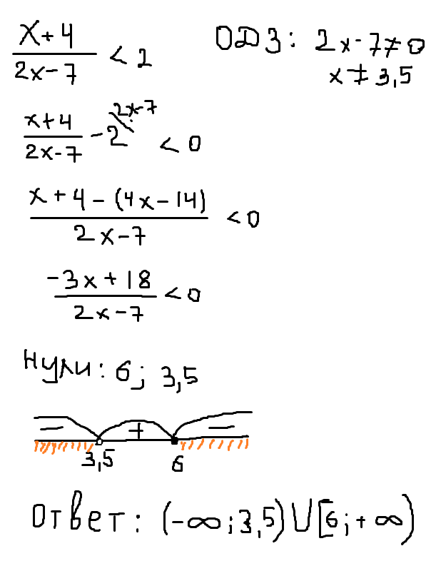
Прошу прощения за ужасный почерк
пс. Оранжевым цветом показана штриховка
Надеюсь, что все понятно
пс. Оранжевым цветом показана штриховка
Надеюсь, что все понятно
Приложения:
Ответ дал:
0
спосибо большое
Ответ дал:
0
а почему квадратная скобка
Ответ дал:
0
прости, ошибка, там везде круглые скобки
Вас заинтересует
3 года назад
3 года назад
8 лет назад
8 лет назад
10 лет назад
10 лет назад
11 лет назад