Помогите пожалуйста!
вычислите объем правильной треугольной усеченной пирамиды со сторонами основания а>b, боковое ребро которой наклонено к плоскости большего основания под углом альфа
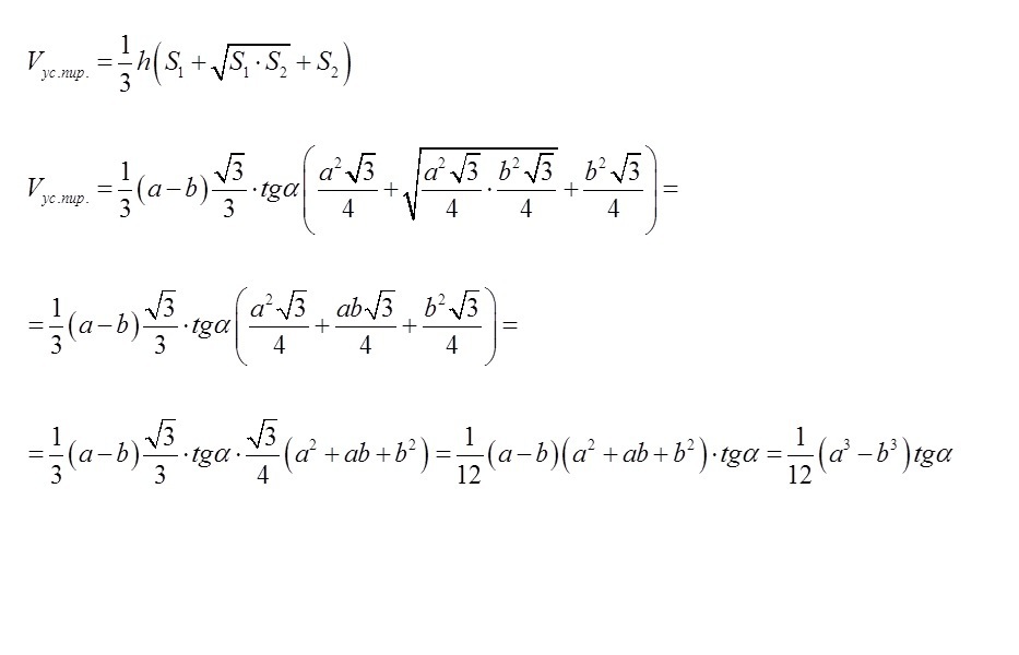
Ответ:(а^3-b^3)/12)tgα
Ответы
Ответ дал:
0
Решение на приложенных изображениях.
Приложения:


Ответ дал:
0
Продлим рёбра до пересечения так, чтобы образовалась неусечённая пирамида с основанием, равным а.
Тогда объём усечённой пирамиды будет равен разности объёмов Va и Vb пирамид с основанием а и с основанием b.
Найдём площадь основания правильной треугольной пирамиды с основанием х
Площадь основания такой пирамиды равен
Sосн = 1/4 · х² · √3
Проекция бокового ребра на основание Рпр = х/√3
Высота пирамиды Н = Рпр · tgα = x · tgα : √3
Объём пирамиды V = 1/3 · Sосн · Н = 1/3 · 1/4 · х² · √3 · x · tgα : √3 =
= 1/12 · х³ · tg α
Подставляем в эту формулу х = а и получаем Va = 1/12 · a³ · tg α
Подставляем в эту формулу х = b и получаем Vb = 1/12 · b³ · tg α
Объём усечённой пирамиды V = Va - Vb = 1/12 · (a³ - b³) · tgα
Ответ: 1/12 · (a³ - b³) · tgα
Тогда объём усечённой пирамиды будет равен разности объёмов Va и Vb пирамид с основанием а и с основанием b.
Найдём площадь основания правильной треугольной пирамиды с основанием х
Площадь основания такой пирамиды равен
Sосн = 1/4 · х² · √3
Проекция бокового ребра на основание Рпр = х/√3
Высота пирамиды Н = Рпр · tgα = x · tgα : √3
Объём пирамиды V = 1/3 · Sосн · Н = 1/3 · 1/4 · х² · √3 · x · tgα : √3 =
= 1/12 · х³ · tg α
Подставляем в эту формулу х = а и получаем Va = 1/12 · a³ · tg α
Подставляем в эту формулу х = b и получаем Vb = 1/12 · b³ · tg α
Объём усечённой пирамиды V = Va - Vb = 1/12 · (a³ - b³) · tgα
Ответ: 1/12 · (a³ - b³) · tgα
Приложения:


Вас заинтересует
2 года назад
2 года назад
8 лет назад
8 лет назад
10 лет назад
10 лет назад
10 лет назад
10 лет назад