• Предмет: Математика
  • Автор: nikatsibuliaeva
  • Вопрос задан 10 лет назад

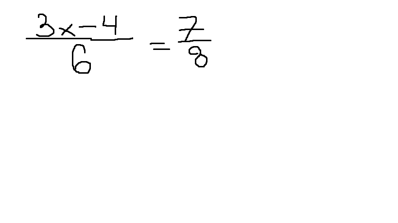
50 БАЛЛОВ :-))) РЕШИТЕ, ПОЖАЛУЙСТА, УРАВНЕНИЕ:

Приложения:

Ответы

Ответ дал: SOvchinnikov
0
8 (3х-4) = 6*7
24х - 32 = 42
24х = 74
х = 7424 = 3 целых 112
Ответ дал: МистерХэ228
0
но не уверен
Ответ дал: МистерХэ228
0
А почему 6*7?
Ответ дал: Пеппер
0
Всё правильно!
Вас заинтересует