• Предмет: Алгебра
  • Автор: ftyhjkgcgjkjb
  • Вопрос задан 10 лет назад

помогите пожалуйста.буду очень благодарен

Приложения:

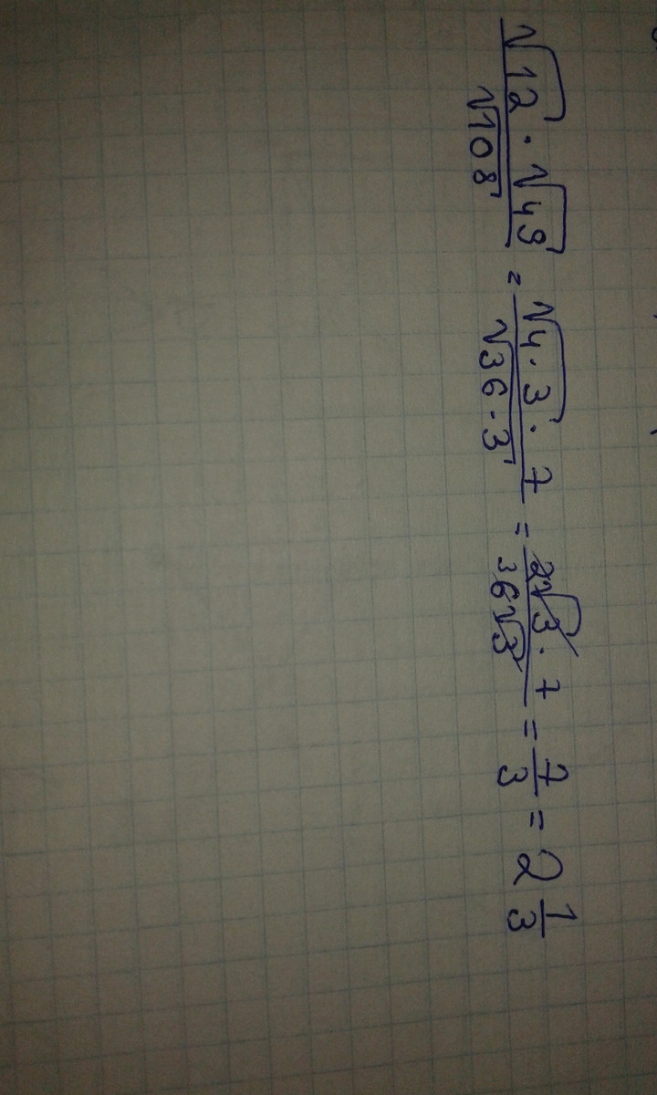
Ответы

Ответ дал: misseeg
0
Вот. Надеюсь, что помогла.
Приложения:
Ответ дал: ftyhjkgcgjkjb
0
спасибо
Ответ дал: беха2004
0
не за что))
Ответ дал: misseeg
0
Беха2004, это ведь не вам писали:)
Ответ дал: беха2004
0
а мне не жалко))))))))
Ответ дал: ftyhjkgcgjkjb
0
спасибо БЕХА2004)))))
Вас заинтересует