Ответы
Ответ дал:
0
треугольник ABD равнобедренный, найдем высоту - она будет высотой параллелограмма h=√(10^2-8^2)=6 cм
площадь равна произведению AD*h=16*6=96.
2) все кроме первой. третья самая рациональная.
площадь равна произведению AD*h=16*6=96.
2) все кроме первой. третья самая рациональная.
Приложения:

Ответ дал:
0
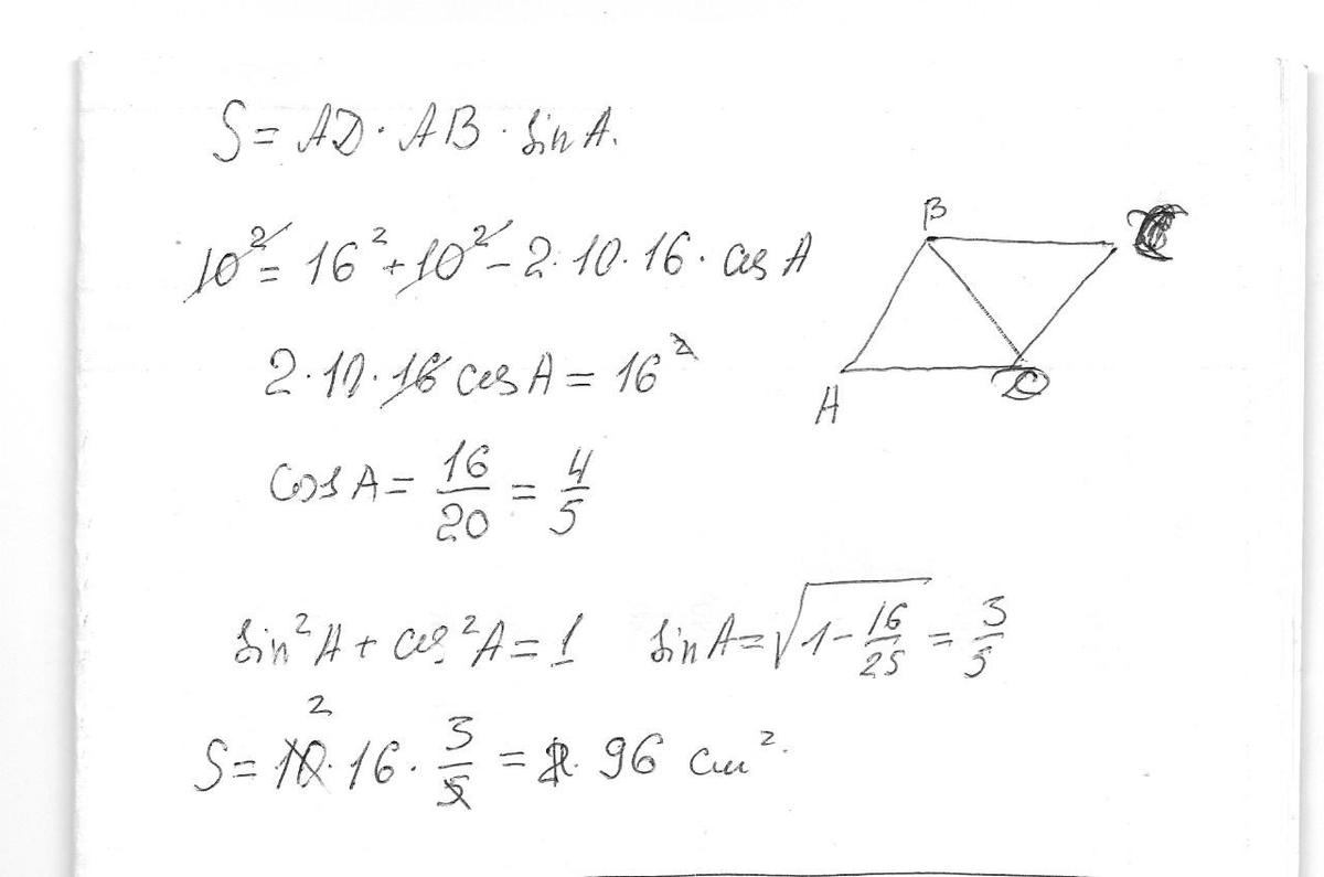
почему? второй ответ тоже возможен, к треугольнику ABD применим теорему косинусов находим косинус угла А, зная его находим синус угла A и пользуемся вторым пунктом. Вы неправы.
Ответ дал:
0
решение по первому пункту в принципе невозможно.
Ответ дал:
0
Эти задания с сайта, их загружают учителя, с тобой я спорить не буду, потому что не смогу доказать, прав ты или же неправ, но как видишь задание не зачтено, само собой есть и такой вариант что учитель ошибся, ты можешь решить через формулу умножения сторон и синуса угла между ними? А я уже подойду и сам выясню у нее, права она или нет, само собой можешь не делать если впадлу, я все на 100% кроме этого задания написал, крч есть время сделай нет, и на том спасибо)
Ответ дал:
0
добавил для тебя файлик, понятно что такое решение, это решение через "одно место", но формально оно возможно. Ведь вопрос был можно воспользоваться формулой или нет
Ответ дал:
0
Ну понятно, спрошу у нее по этому поводу, а тебе спасибо, и вправду Опыт с большой буквы))
Вас заинтересует
2 года назад
7 лет назад
10 лет назад
10 лет назад