• Предмет: Математика
  • Автор: maruska2003
  • Вопрос задан 11 лет назад

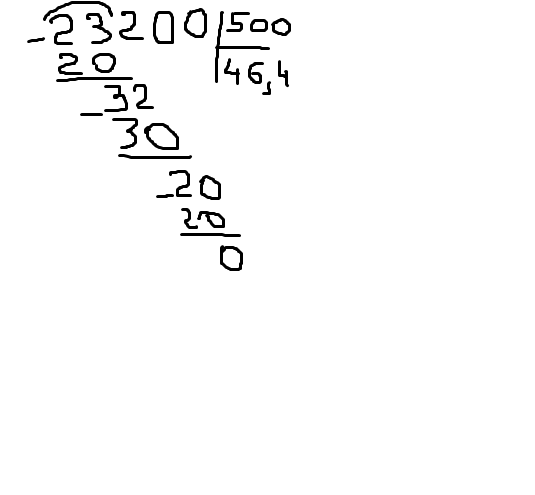
как решить столбиком пример 23200:500

Ответы

Ответ дал: Andrey19997
0

23200 и 500 сокращаем на 2 нуля оба числа это будет тогда 232 : 5 = 23200:500 одно и тоже.

 

   _ 232 / 

      20    /4

    _ 32   /6                                             ответ: 46.4

       30   /.4

         _ 20

             20

                0

Ответ дал: ник1456
0

вот, смотри.мы так решали вроде)

Приложения:
Вас заинтересует