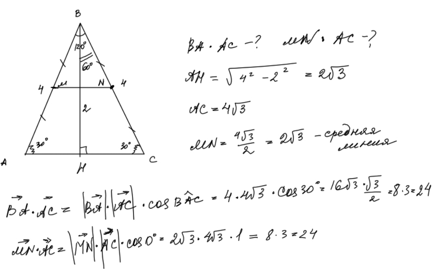
В равнобедренном треугольнике ABC AB=BC=4, угол B=120 градусов, M и N - середины AB и BC соответственно. Найдите: скалярное произведение
BA*AC
MN*AC
Ответы
Ответ дал:
0
решение в прикрепленном файле
Приложения:

Ответ дал:
0
я для проверки задала вопрос, по-моему в первом ответ -24
Ответ дал:
0
У меня в обоих случаях получилось 24.
Вас заинтересует
2 года назад
2 года назад
7 лет назад
7 лет назад
10 лет назад
10 лет назад
10 лет назад
10 лет назад