• Предмет: Алгебра
  • Автор: Hackn72
  • Вопрос задан 10 лет назад

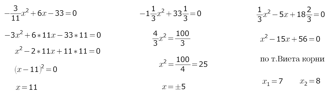
Решить примеры 3, 6, 8 на фото.

Приложения:

Ответы

Ответ дал: LFP
0
нужно умножать обе части равенства на число, равное знаменателю...
чтобы дробей не стало)))
Приложения:
Вас заинтересует