• Предмет: Алгебра
  • Автор: 555Математика555
  • Вопрос задан 10 лет назад

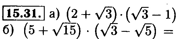
Помогите решить? Желательно на листке напишите и отправьте, пожалуйста

Приложения:

Ответа на этот вопрос пока нет. Попробуйте найти его через форму поиска.

Вас заинтересует