• Предмет: Алгебра
  • Автор: Lizet12
  • Вопрос задан 10 лет назад

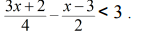
знайдіть найбільший цілий розв'язок нерівності

Приложения:

Ответы

Ответ дал: nastus228
0
3х+2/4-2x-6/4 < 3 
x+8/4
< 3 
x-4/4<0
x<4
Отже, найбільший цілий розв'язок х = 3
Відповідь : 3
Ответ дал: nastus228
0
знак деления ( дробь) 
Ответ дал: Lizet12
0
спасибо
Ответ дал: nastus228
0
Ты можешь проверить решение - подставив число 3 в уравнение и тогда у тебя получится 11/4 < 3 
2.75 < 3 
Ответ дал: Lizet12
0
спасибо но все равно не пойму как писать 
Ответ дал: Lizet12
0
не пойму как дробью записать
Вас заинтересует