Ребята прошу решите пожалуйста 3 задание подробно, можно на листочке, заранее спасибо))
Приложения:

Ответы
Ответ дал:
0
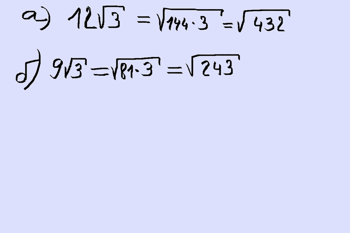
Решаем таким образом(покажу на примере под буквой А):
Дан такой пример: 12√3
Нам нужно сначала возвести 12 в квадрат и внести под знак корня
Получится 144
Потом мы должны умножить 144 на 3(под корнем)
Получится 432(под корнем)
Ответ:√432
Дан такой пример: 12√3
Нам нужно сначала возвести 12 в квадрат и внести под знак корня
Получится 144
Потом мы должны умножить 144 на 3(под корнем)
Получится 432(под корнем)
Ответ:√432
Приложения:

Вас заинтересует
2 года назад
2 года назад
7 лет назад
10 лет назад
10 лет назад