• Предмет: Алгебра
  • Автор: katrin3986
  • Вопрос задан 11 лет назад

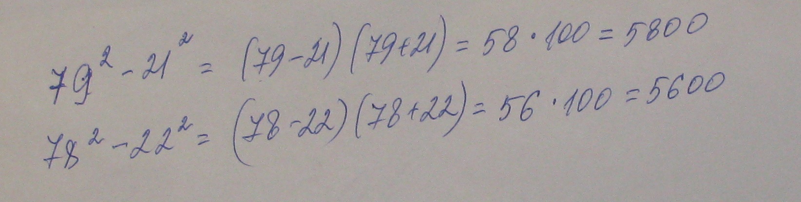
вычислить рациональным способом: 79 ² - 21 ² и 78 ² - 22 ²

Ответы

Ответ дал: alyona72
0

Решение смотрите во вложении :-)

Приложения:
Ответ дал: ilios
0

1)(79-21)(79+21)=5800

2)(78-22)(78+22)=5600

Приложения:
Вас заинтересует