• Предмет: Алгебра
  • Автор: StarForever
  • Вопрос задан 11 лет назад

Ребят, помогите решить задание по алгебре очень надо очень срочно!!

 

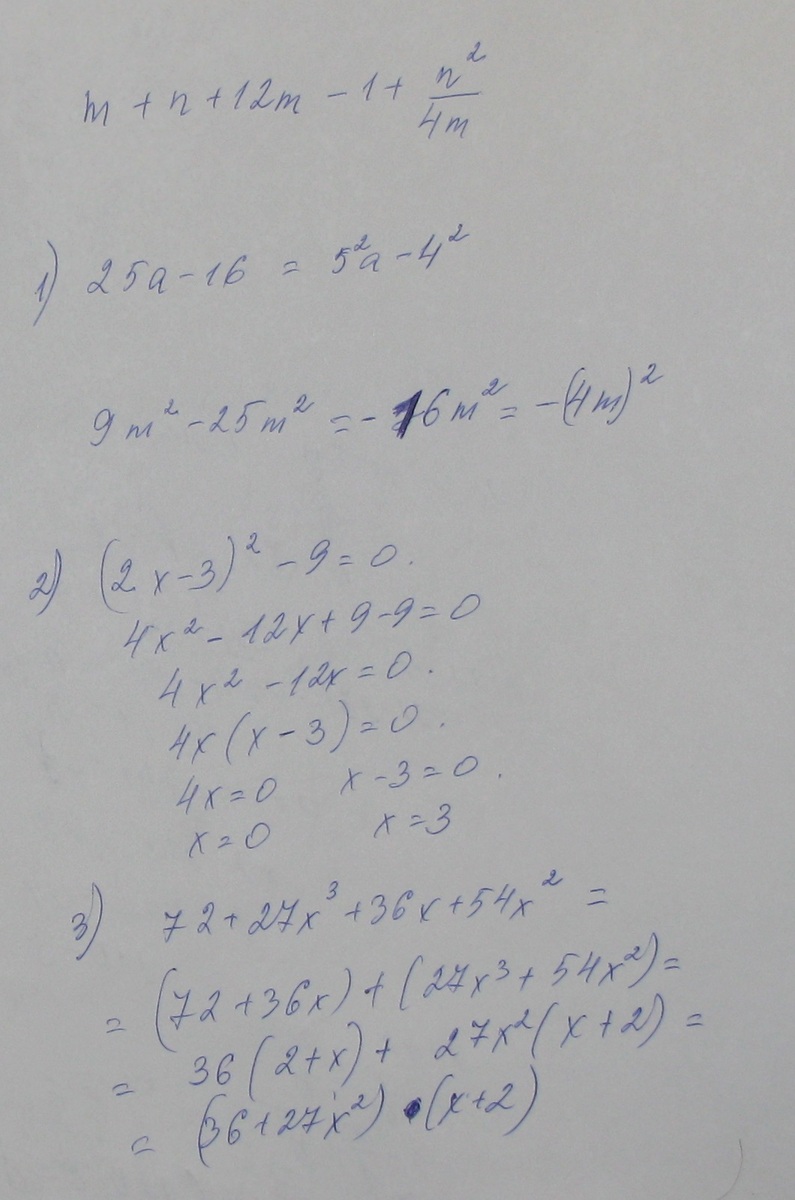
1. Разложите на множители(с помощью формул сокращённого умножения)

а. 25а-16   б. 9м^2-25м^2

 

 2. Решите уравнение: (2х-3)^2-9=0

 

3. Разложите на множители:

72+27х^3+36х+54х^2 

Ответы

Ответ дал: alyona72
0

Не совсем поняла, что в первом задании надо было сделать. Решения в приложении.

Удачи. 

Приложения:
Вас заинтересует