• Предмет: Алгебра
  • Автор: BlueSky10
  • Вопрос задан 10 лет назад

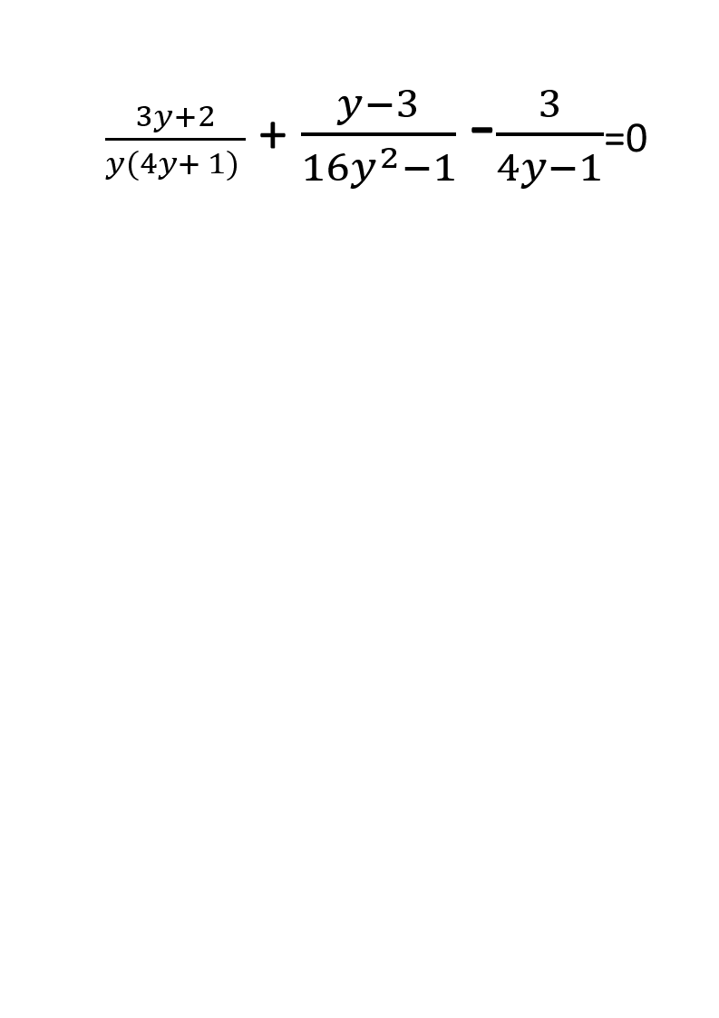
Решите пожалуйста. Очень нужно)

Приложения:

Ответы

Ответ дал: lara164
0
*********************************
Приложения:
Ответ дал: BlueSky10
0
большое спасибо)
Вас заинтересует