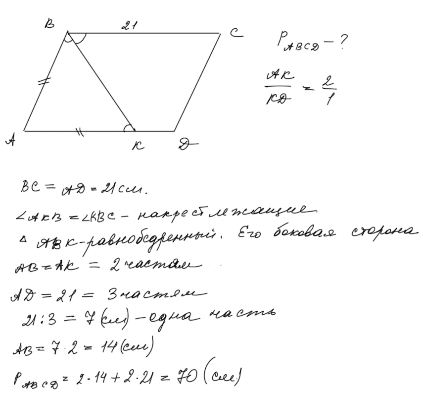
в параллелограмме ABCD из вершины тупого угла B проведена биccектриса BK. Найдите периметр параллелограмма, если АК:KD=2:1, a BC=21
Ответы
Ответ дал:
0
Решение в прикрепленном файле.
Приложения:

Вас заинтересует
2 года назад
7 лет назад
7 лет назад
10 лет назад
10 лет назад
10 лет назад