• Предмет: Алгебра
  • Автор: Шатеночка
  • Вопрос задан 11 лет назад

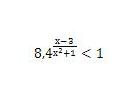
Решите пожалуйста уравнение

Приложения:

Ответы

Ответ дал: Milli205
0

правая часть это 8.4^0

т.к.  8,4 >1  то функция возрастает знак неравенства не меняется имеем

x-3/x^2+1<0

x^2>=0   x^2+1>=1>0

x-3<0   x<3

xe(-oo.3)

Ответ дал: Ivanna2013
0

8.4^{frac{x-3}{x^2+1}}&lt;1\ 8.4^{frac{x-3}{x^2+1}}&lt;8.4^0\ frac{x-3}{x^2+1}&lt;0\ x^2+1&gt;0\x-3&lt;0\ x&lt;3

Вас заинтересует