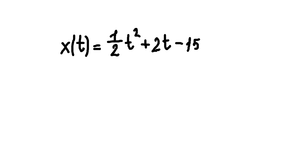
Материальная точка движется прямолинейно по закону x(t)=1/2t^2+2t-15, где x - расстояние от точки отсчета в метрах, t - время в секундах, измеренное с
начала движения. Найдите ее скорость (в метрах в секунду) в момент времени t = 7 с.
Что бы было понятнее - прикрепляю рисунок
Приложения:

Ответы
Ответ дал:
0
Физический смысл производной. Если точка движется вдоль оси х и ее координата изменяется по закону x(t), то мгновенная скорость точки:
v(t) = x'(t)
Осталось вычислить скорость в момент времени t = 7 с:
м/с.
Ответ: 9 м/с.
Вас заинтересует
2 года назад
2 года назад
7 лет назад
10 лет назад
10 лет назад