• Предмет: Алгебра
  • Автор: Stilinskinst
  • Вопрос задан 10 лет назад

Помогите решить, пожалуйста)

Приложения:

Ответы

Ответ дал: Junix
0
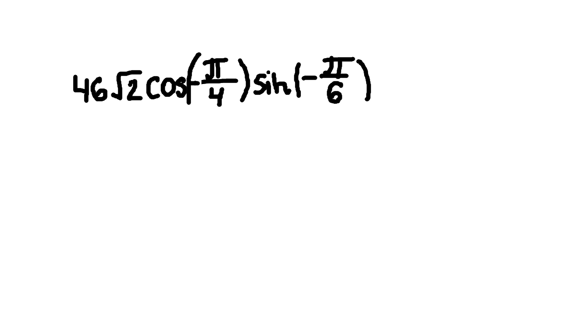
... = 46√2*√2/2*(-1/2) = -23
Ответ дал: Junix
0
27*4x=0,36*125+4х 104х=46 х=23/57 держи, вроде так ;)
Ответ дал: Junix
0
Аа, нет, не так 
Ответ дал: Junix
0
здесь 4х вылетает из уравнения, и оно вообще без "икса" остаётся 
Ответ дал: Junix
0
Бред какой-то, или я чего то не заметил, извини :3
Ответ дал: Stilinskinst
0
Всё равно спасибо))
Вас заинтересует