• Предмет: Алгебра
  • Автор: Аноним
  • Вопрос задан 10 лет назад

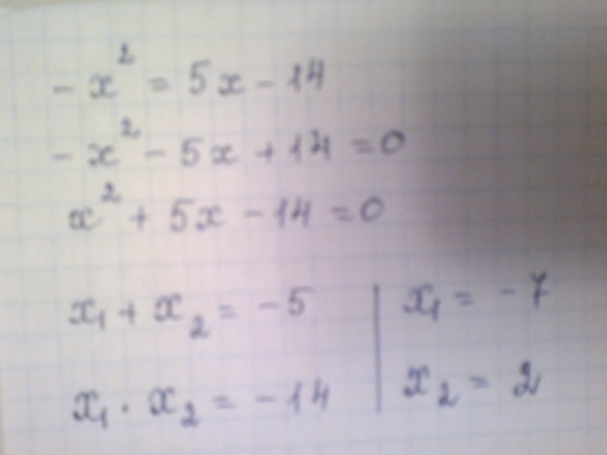
Решить уравнение: -х^2=5x-14

Ответы

Ответ дал: ytekjdbvsq
0
пишите, если что не так
Приложения:
Вас заинтересует