Ответы
Ответ дал:
0
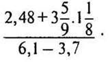
2,48 + 3 5/9 * 1 1/8 2,48 + 32/9 * 9/8 2,48 + 4
------------------------- = ------------------------ = -------------- = 6,48/2,4 = 2,7
6,1 - 3,7 2,4 2,4
------------------------- = ------------------------ = -------------- = 6,48/2,4 = 2,7
6,1 - 3,7 2,4 2,4
Ответ дал:
0
2,48+3 5/9*1 1/8=4
2,48+4=6,48
6,1-3,7=2,4
6,48:2,4=2,7
2,48+3 5/9*1 1/8/6,1-3,7=2,7
2,48+4=6,48
6,1-3,7=2,4
6,48:2,4=2,7
2,48+3 5/9*1 1/8/6,1-3,7=2,7
Вас заинтересует
3 года назад
3 года назад
8 лет назад
8 лет назад
10 лет назад
10 лет назад