Решите уравнение:
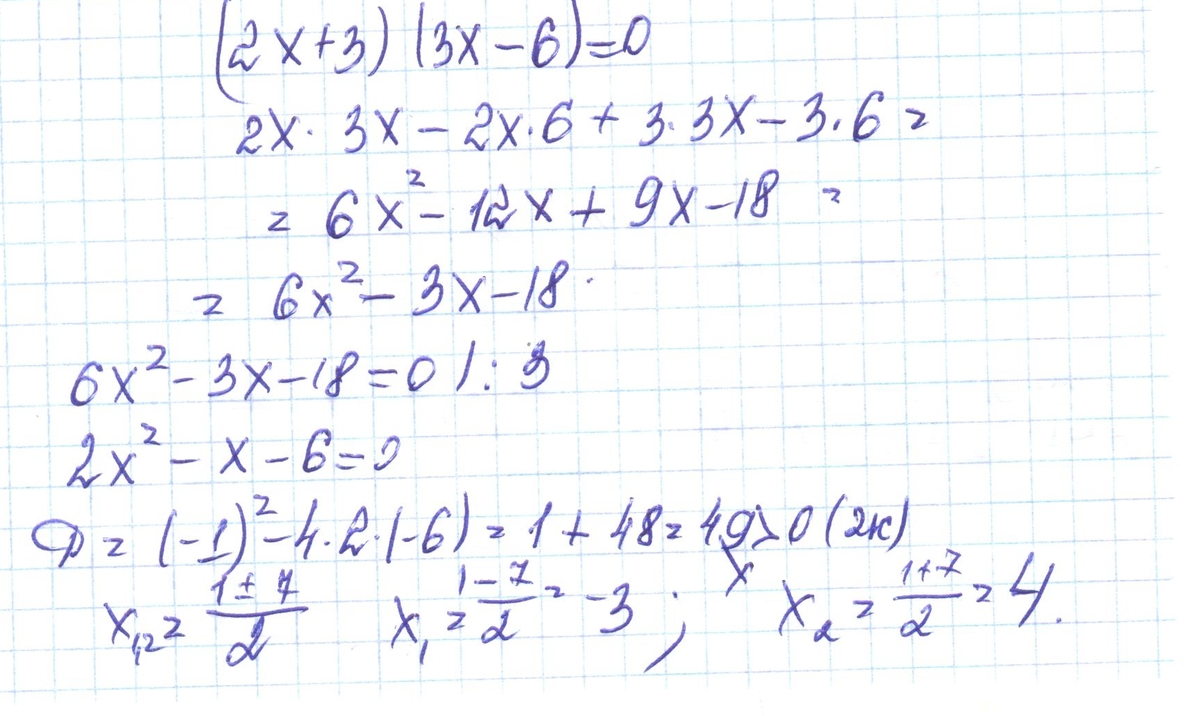
(2х+3)(3х-6)=0
Тема - Что такое разложение многочленов на множители и зачем оно нужно .
Ответы
Ответ дал:
0
......................................
Приложения:
Вас заинтересует
3 года назад
3 года назад
8 лет назад
8 лет назад
11 лет назад
11 лет назад
11 лет назад