Ответы
Ответ дал:
0
============================================
Приложения:

Ответ дал:
0
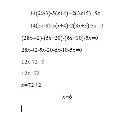
28x-42-5x-20=6x+10+5x
Все Х переносит в левую часть с противоположным знаком:
28x-5x-6x-5x=10+42+20
12x=72
X=6
Все Х переносит в левую часть с противоположным знаком:
28x-5x-6x-5x=10+42+20
12x=72
X=6
Приложения:

Вас заинтересует
2 года назад
8 лет назад
8 лет назад
10 лет назад
10 лет назад
10 лет назад